Ответы
Ответ дал:
0
Ответ:
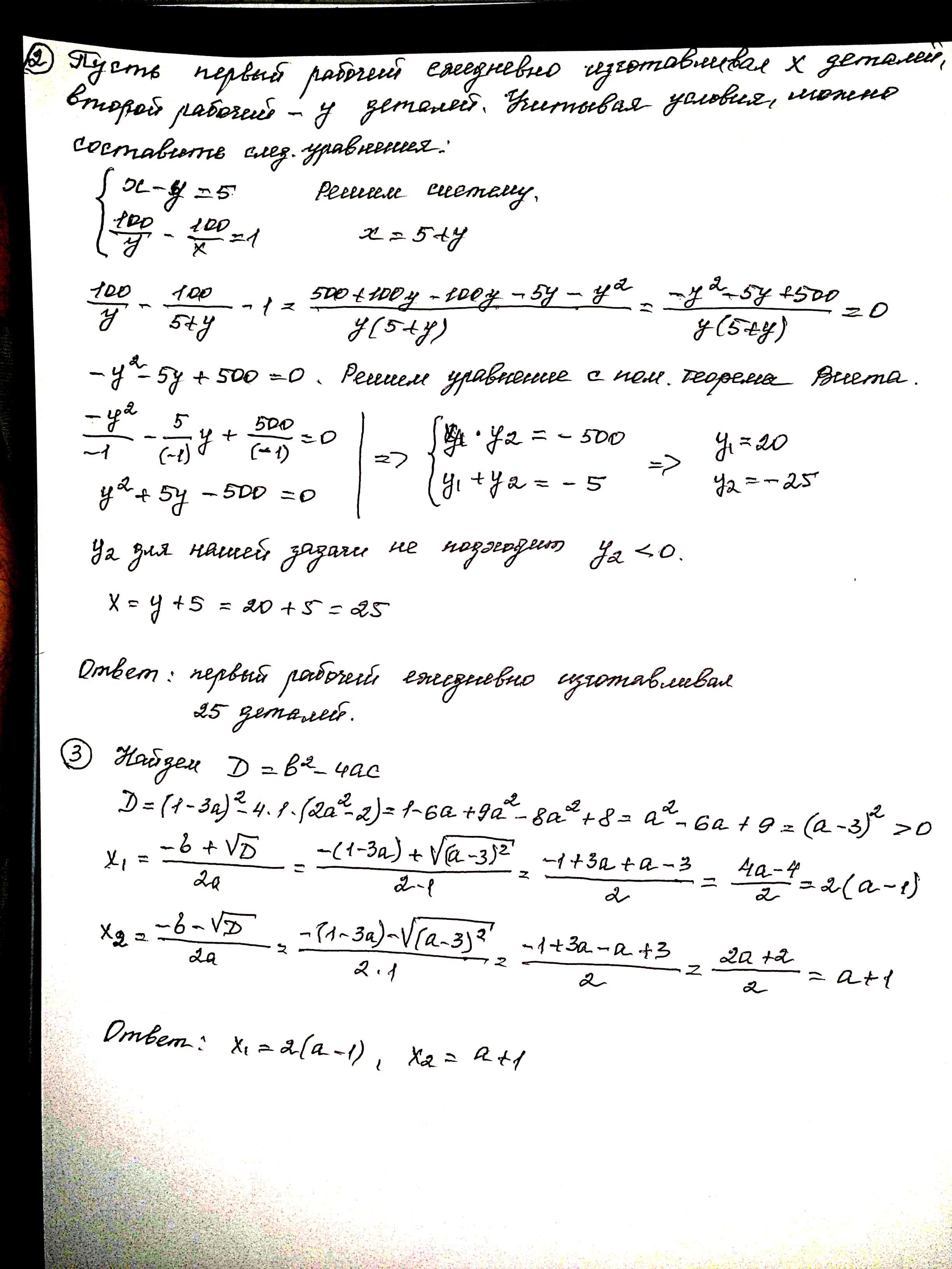
Объяснение: Решение 2 и 3 в файле
Приложения:

Ответ дал:
0
Извините, не могли бы Вы помочь и с четвёртым заданием?
Ответ дал:
0
4. (a+3)/(a+2)=2/x-5/x(a+2) =(2(a+2)-5)/x(a+2) =(2a+4-5)/x(a+2) =(2a-1)/x(a+2)
a+3=(2a-1)/x,⟹x=(2a-1)/(a+3) ,(x≠0)
a+3=(2a-1)/x,⟹x=(2a-1)/(a+3) ,(x≠0)
Ответ дал:
0
Спасибо большое!
Вас заинтересует
3 года назад
3 года назад
8 лет назад
9 лет назад