Реши систему уравнений методом подстановки.
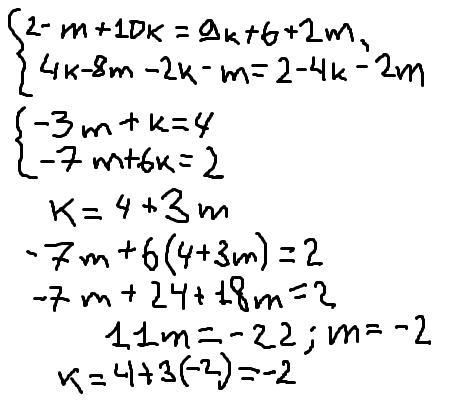
{2−5(0,2m−2k)=3(3k+2)+2m
{4(k−2m)−(2k+m)=2−2(2k+m)
очень срочно нужно, пожалуйста помогите !!!
Ответы
Ответ дал:
0
Ответ:
Объяснение:
Решение в приложении
Приложения:

Вас заинтересует
2 года назад
2 года назад
3 года назад
3 года назад
8 лет назад
8 лет назад
9 лет назад