• Предмет: Геометрия
  • Автор: newbest
  • Вопрос задан 8 лет назад

Решите пожалуйста 2.3 и 2.4 очень нужно!!

Приложения:

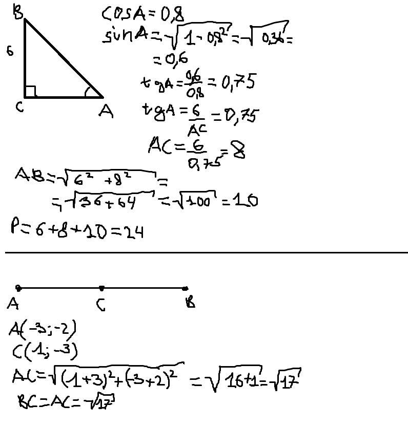
Ответы

Ответ дал: griwka01
0

b^2-144=0

b^2=144

b=±12

Ответ дал: solving05
0

Ответ:

Объяснение:

Решение в приложении

Приложения:
Вас заинтересует