• Предмет: Математика
  • Автор: gus5a
  • Вопрос задан 8 лет назад

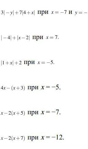
сделайте задание пожалуйста
в конце-1​

Приложения:

Ответы

Ответ дал: aiymym
0

3) |1-5|+2=6

2)4+(-5)=-1

4)-20+2=-18

5)7+4=11

6)-12+5=-7

Вас заинтересует