• Предмет: Алгебра
  • Автор: loldlslkfskfk
  • Вопрос задан 8 лет назад

Подробно. Способ подстановки. ​

Приложения:

Ответы

Ответ дал: aiymym
0

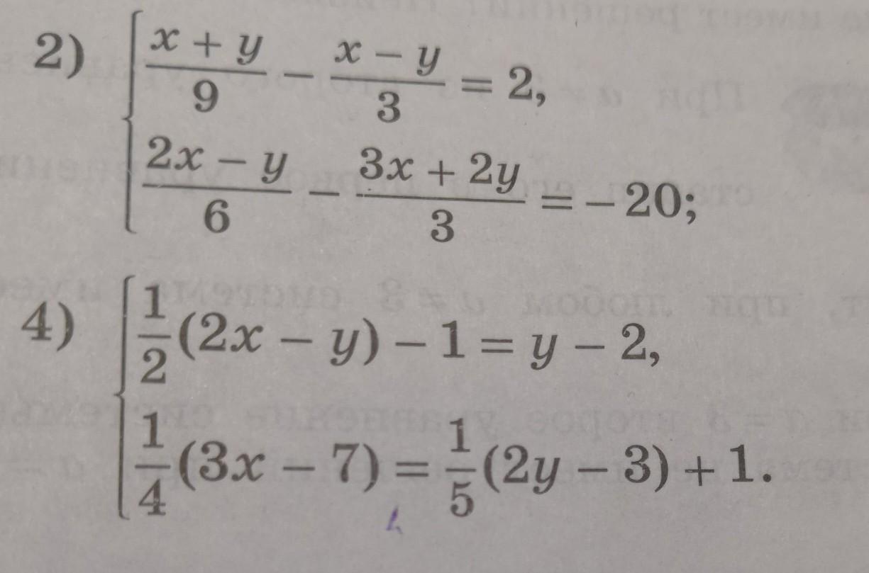
номер 1

х=-8+2у

 frac{2x - y}{6}  -  frac{3x + 2y}{3}  =  - 20

 frac{2( - 9 + 2y) - y}{6}   -  frac{3( - 9 + 2y) + 2y}{3}  =  - 20

y = 12 \ x =  - 9 + 12 times 2 \ x = 15

(15;12)

Вас заинтересует