• Предмет: Алгебра
  • Автор: udhggdvyg
  • Вопрос задан 8 лет назад

Срочно,помогите пж!!!

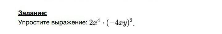
Приложения:

Ответы

Ответ дал: Dandarella
0

Ответ:32x(в6 степени)у(в квадрате)

Объяснение:

Я просто хз ка4 напиать в степени

Вас заинтересует