• Предмет: Физика
  • Автор: Penguin1337
  • Вопрос задан 8 лет назад

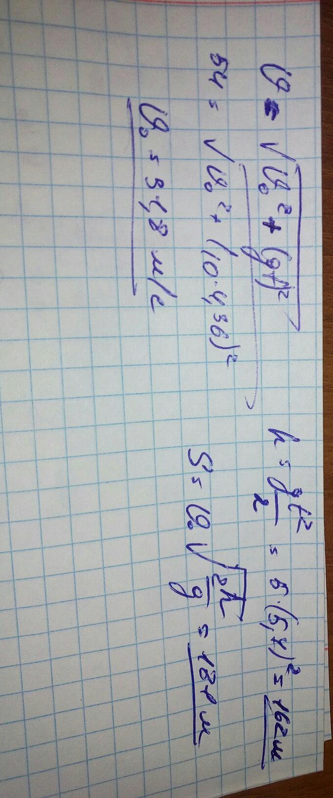
Тело брошенное горизонтально с крыши высотного здания, через 4,36 с движение приобрело скорость 54,0 м/с. Каковая его начальная скорость? Найти высоту здания и на каком расстояния от основания здания тело упало на землю , если время полёта составило 5,70 с?

Ответы

Ответ дал: Роман1233212002
0

Решение во вложении......

Приложения:
Вас заинтересует