Ответы
Ответ дал:
0
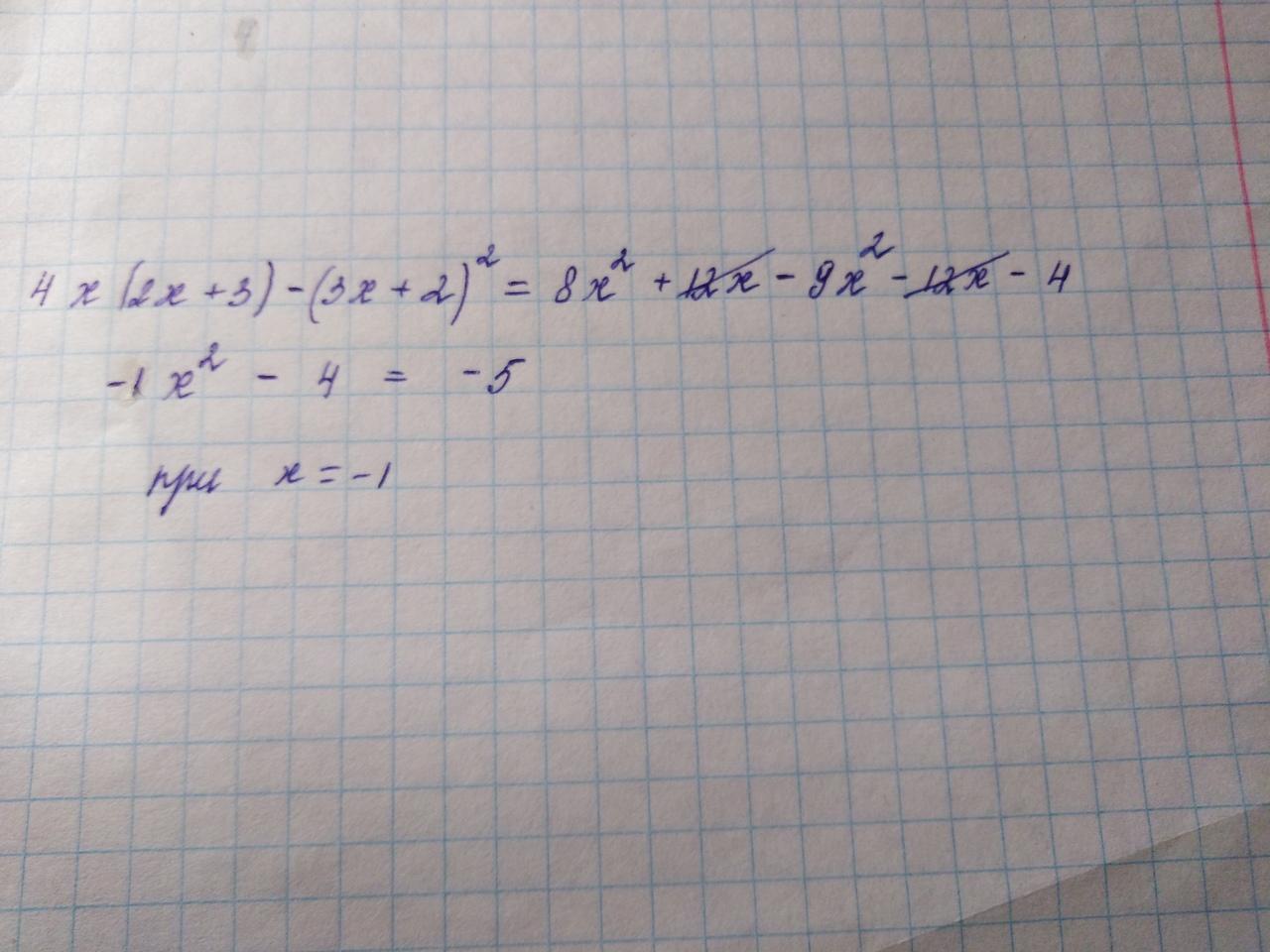
4x(2x+3)-(3x+2)²
Упростим,чтобы проще решить .
4x(2x+3)-(3x+2)²=8x²+12x-(9x²+12x+4)=8x²+12x-9x²-12x-4=-x²-4
при х=-1
-(-1)²+4=-1+(-4)=-1-4=-5
Удачи
Упростим,чтобы проще решить .
4x(2x+3)-(3x+2)²=8x²+12x-(9x²+12x+4)=8x²+12x-9x²-12x-4=-x²-4
при х=-1
-(-1)²+4=-1+(-4)=-1-4=-5
Удачи
Ответ дал:
0
спасибо-з-)/
Ответ дал:
0
♥♥
Ответ дал:
0
ПОМОГИТЕ ПЖЖ
Ответ дал:
0
пжжжжж
Ответ дал:
0
4epnukaaa
Ответ дал:
0
Ответ:
Как то так
Объяснение:
Приложения:

Вас заинтересует
2 года назад
3 года назад
3 года назад
8 лет назад
8 лет назад
9 лет назад