• Предмет: Математика
  • Автор: SVIDETELSLAMA
  • Вопрос задан 8 лет назад

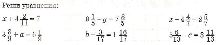
пожалуйста решите вот эти уравнения с дробями!вычитание и складывание дробей тоже писать

Приложения:

Ответы

Ответ дал: blannka87
0

а)х+4 2/11==7

7-4 2/11=7/1-46/11=31/11

х=31/11=2 9/11

б)3 8/9+а=6 1/9

6 1/9-3 8/9=1 1/9

Дальше на фото

Приложения:
Вас заинтересует