Ответы
Ответ дал:
0
Ответ:
В приложении ответ. Если непонятно будет, то распишу детали подробнее.
Пошаговое объяснение:
Приложения:

Ответ дал:
0
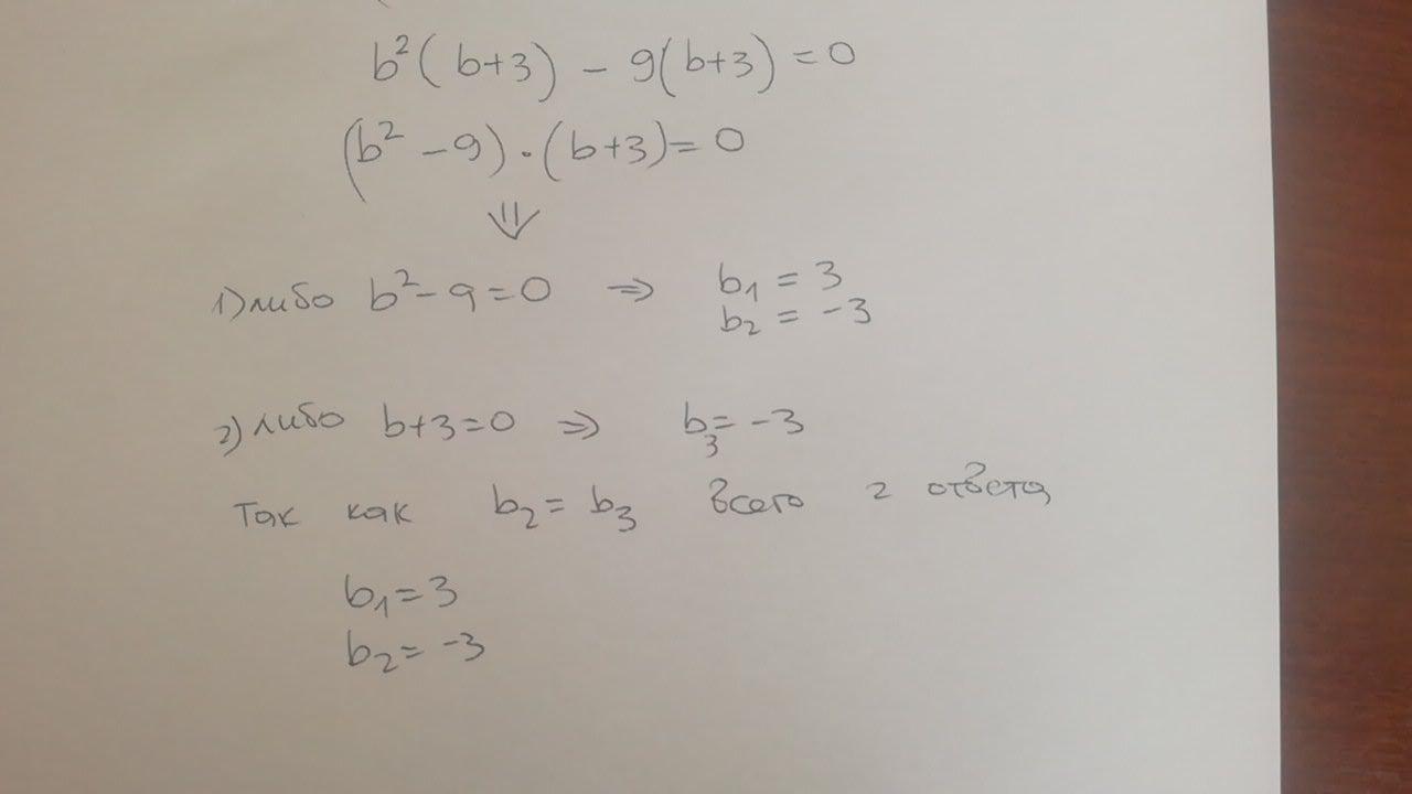
Ответ:
3; -3
Пошаговое объяснение:
b^3+3b^2-9b-27=0
b^2(b+3)-9(b+3)=0
(b+3)(b^2-9)=0
1) b+3=0
b=-3
2) b^2-9=0
b^2=9
b=3, b=-3
Приложения:

Вас заинтересует
2 года назад
2 года назад
3 года назад
3 года назад
8 лет назад
8 лет назад
9 лет назад
9 лет назад