Ответы
Ответ дал:
0
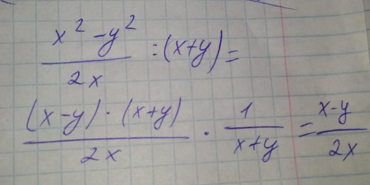
1) Выполнить действия:
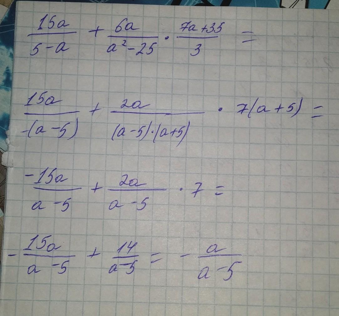
2) Упростите выражение:
4) Решите уравнение:
если что-то непонятно, пишите в комментарии
2) Упростите выражение:
4) Решите уравнение:
если что-то непонятно, пишите в комментарии
Приложения:





Вас заинтересует
2 года назад
2 года назад
3 года назад
3 года назад
8 лет назад
8 лет назад
9 лет назад