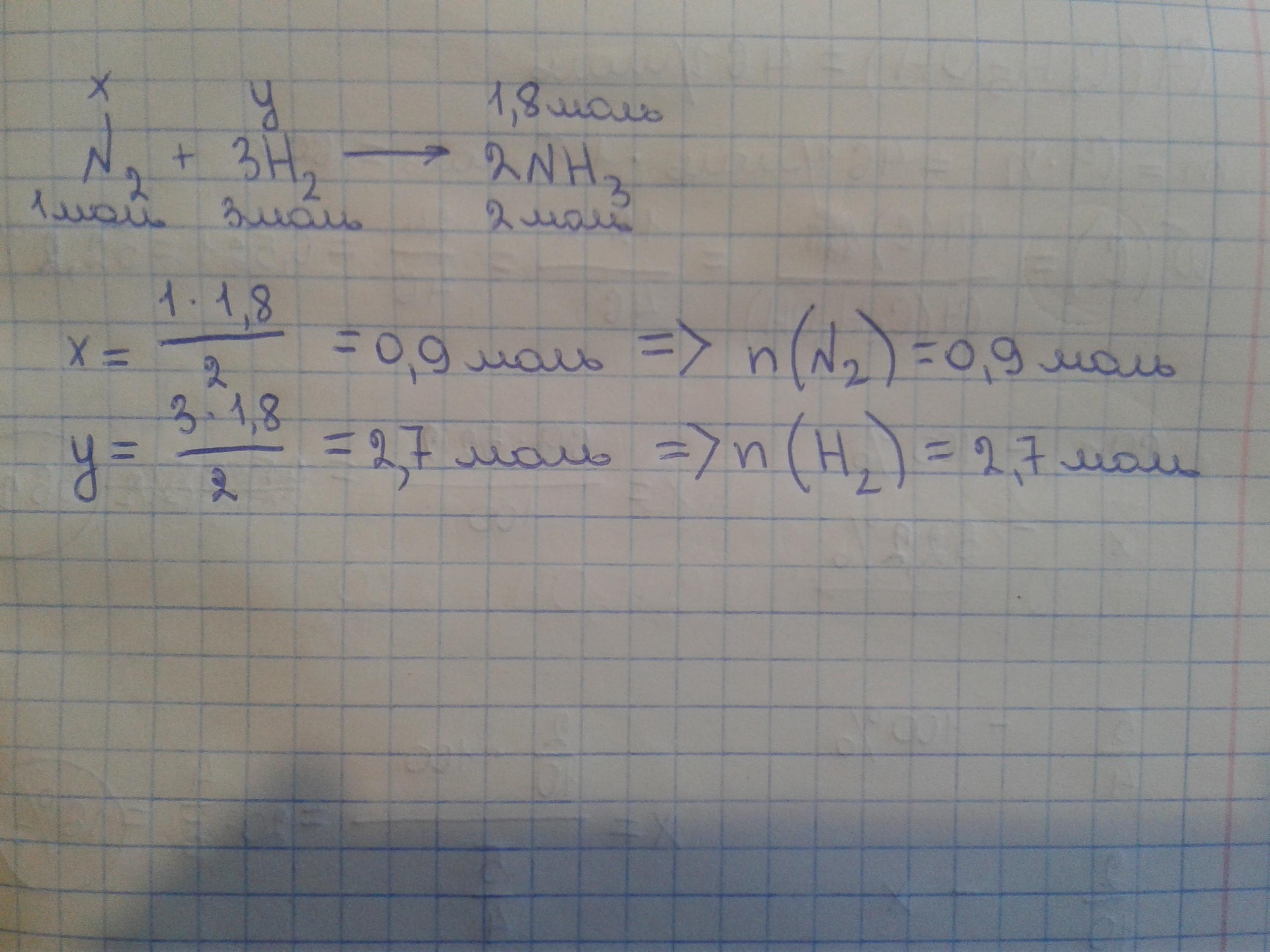
В реакции водорода с азотом образовалось 1,8 моля аммиака NH₃. Составьте уравнение реакции (N₂+3H₂->2NH₃, как я понял). Сколько молей водорода и азота вступили в реакцию?
Ответы
Ответ дал:
0
Ответ:0.9 моль(N2) и 2.7 моль(H2)
Объяснение:
Приложения:

Вас заинтересует
2 года назад
2 года назад
3 года назад
8 лет назад
8 лет назад