Ответы
Ответ дал:
0
Решение примера .
На 5
Приложения:

Ответ дал:
0
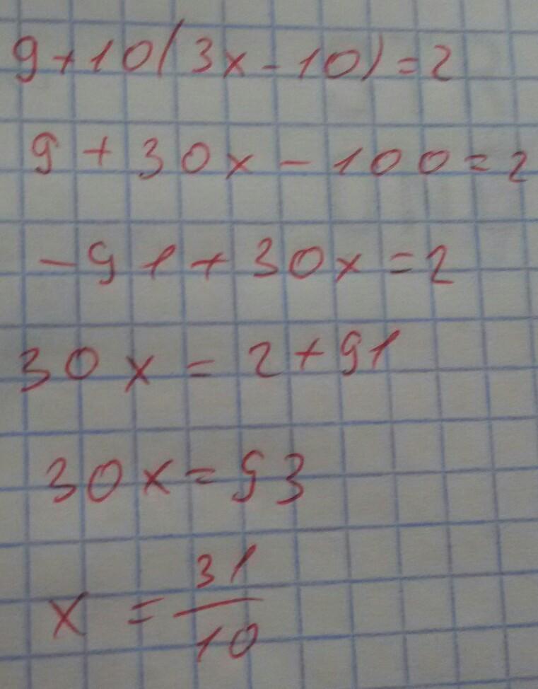
9+30×-100=2
30×=-9+2+100
30×=93
×=93:30
×=3,1
Ответ:3,1 (с остатком)
Приложения:

Вас заинтересует
2 года назад
2 года назад
3 года назад
3 года назад
8 лет назад
8 лет назад
9 лет назад
9 лет назад