Ответы
Ответ дал:
0
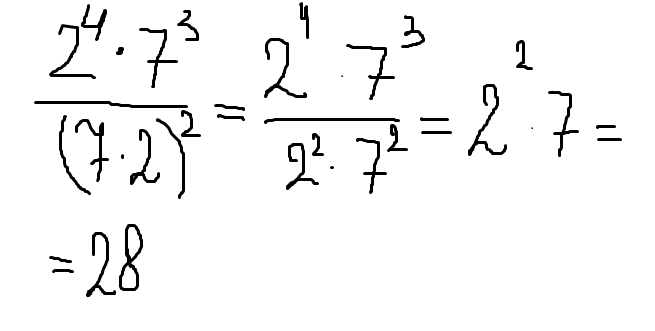
вроде попыталась понятно сделать
Приложения:

Ответ дал:
0
Спасибо:)
Вас заинтересует
2 года назад
2 года назад
8 лет назад
8 лет назад
10 лет назад
10 лет назад
10 лет назад
10 лет назад