Ответы
Ответ дал:
0
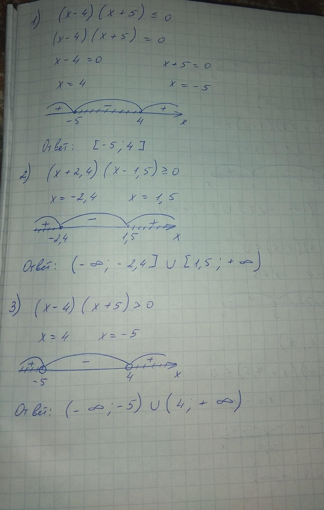
Все на фото, если что каждое выражение приравниваешь к нулю и ищешь корни. В первом расписала, дальше писала только корни. Также, там где выколотые точки, там они выколоты из-за знака в неравенстве, то есть если оно строгое(нет черточки обозначающей равно), то точки выколоты.
Приложения:




Ответ дал:
0
ОГРОМНОЕ СПАСИБО
Ответ дал:
0
А про точки я поняла
Вас заинтересует
2 года назад
2 года назад
3 года назад
3 года назад
8 лет назад
8 лет назад
9 лет назад