• Предмет: Алгебра
  • Автор: Аноним
  • Вопрос задан 8 лет назад

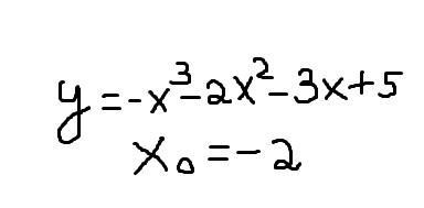
Как это решить?.......

Приложения:

Ответы

Ответ дал: apietrov
0

1)Уравнение касательной имеет следующий вид

2) Найдем значение функции в точке x0= -2

3) Найдем производную от заданной функции

4) Найдем значение производной в точке x0= -2

5) Подставим полученные значения(см пункт 1)1)y_{k}=y(-2)+y'(-2)*(x-(-2))\2)y(-2)=8-8+6+5=11\3)y'=-3x^2-4x-3\4)y'(-2)=-12+8-3=-7\5)y_{k}=11-7(x+2)=-7x-3

Ответ дал: Аноним
0
Спасибо большое)
Ответ дал: Аноним
0
Я как раз жажду подробностей
Ответ дал: apietrov
0
Надеюсь, что я смог вам помочь!
Ответ дал: Аноним
0
Вы мне очень помогли)Прямо все очень понятно расписано, как будто я сама после многочасовых мучений-учений себе объяснение писала))Спасибо)Можно я Вам сюда буду по поводу вопросов писать если появятся?
Ответ дал: apietrov
0
Пишите. Всего хорошего!
Вас заинтересует