Решите уравнение:
1)(15х+25)*(1,8-0,6з)=0
2)(12х+18)*(1,4-0,2х)=0
Ответы не по форме будут удалены!
Помогите!Очень нужно
Ответы
Ответ дал:
0
Ответ:
Пошаговое объяснение:
(15х+25)*(1,8-0,6з)=0
15х+25 = 0 или 1,8-0,6з = 0
15х = -25 0,6з = 1,8
х = -25 : 15 з = 1,8 : 0,6
х = -1 2/3 з = 3
Ответ: х = -1 целая 2/3, з - любое, или з = 3, х - любое
2) (12х+18)*(1,4-0,2х)=0
12х+18 = 0 или 1,4-0,2х = 0
12х = -18 0,2х = 1,4
х = -18 : 12 х = 1,4 : 0,2
х = -1,5 х = 7
Ответ: х = -1,5 или х = 7
Ответ дал:
0
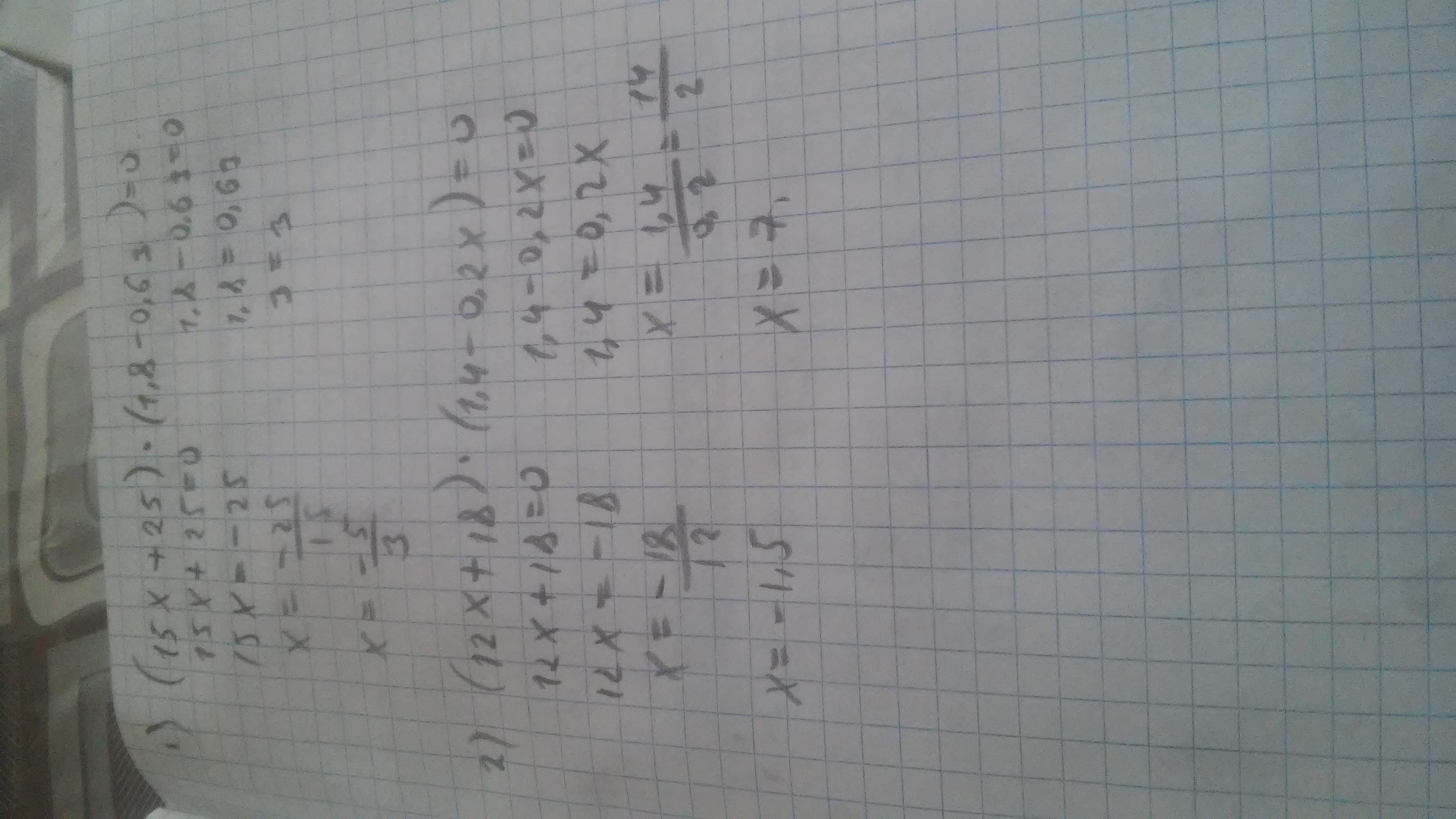
Ответ дан на рисунке☺
Приложения:

Вас заинтересует
2 года назад
2 года назад
3 года назад
3 года назад
8 лет назад
8 лет назад
9 лет назад
9 лет назад