• Предмет: Математика
  • Автор: mangarin0808
  • Вопрос задан 8 лет назад

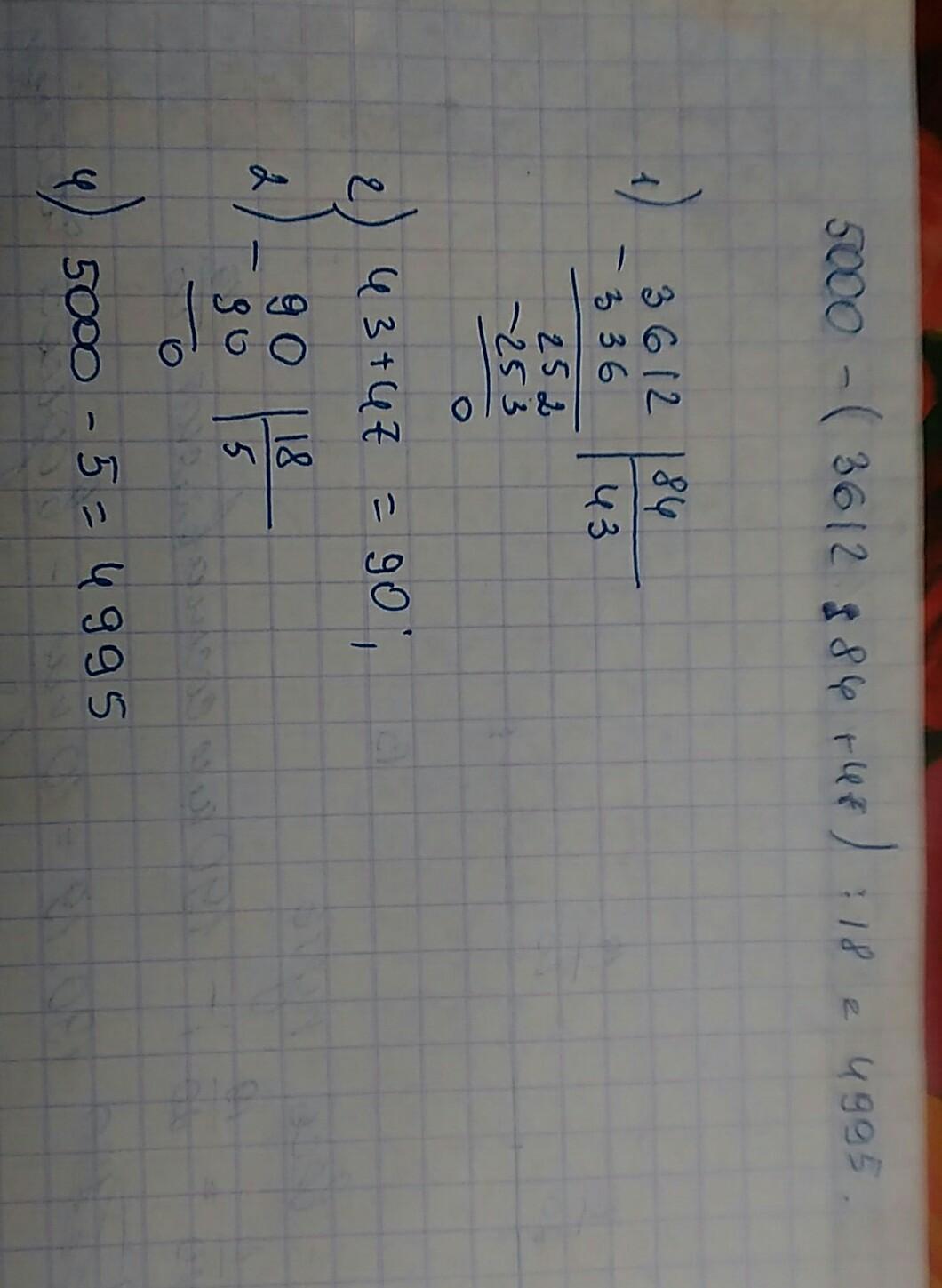
а) 5000-(3612:84+47):18=? Со столбиками

Ответы

Ответ дал: ira30535
0

вот такой ответ получился

Приложения:
Вас заинтересует