Ответы
Ответ дал:
0
!!!!!!!!!!!!!!!!!!!!!!!!!!!!!!!!!!!!1
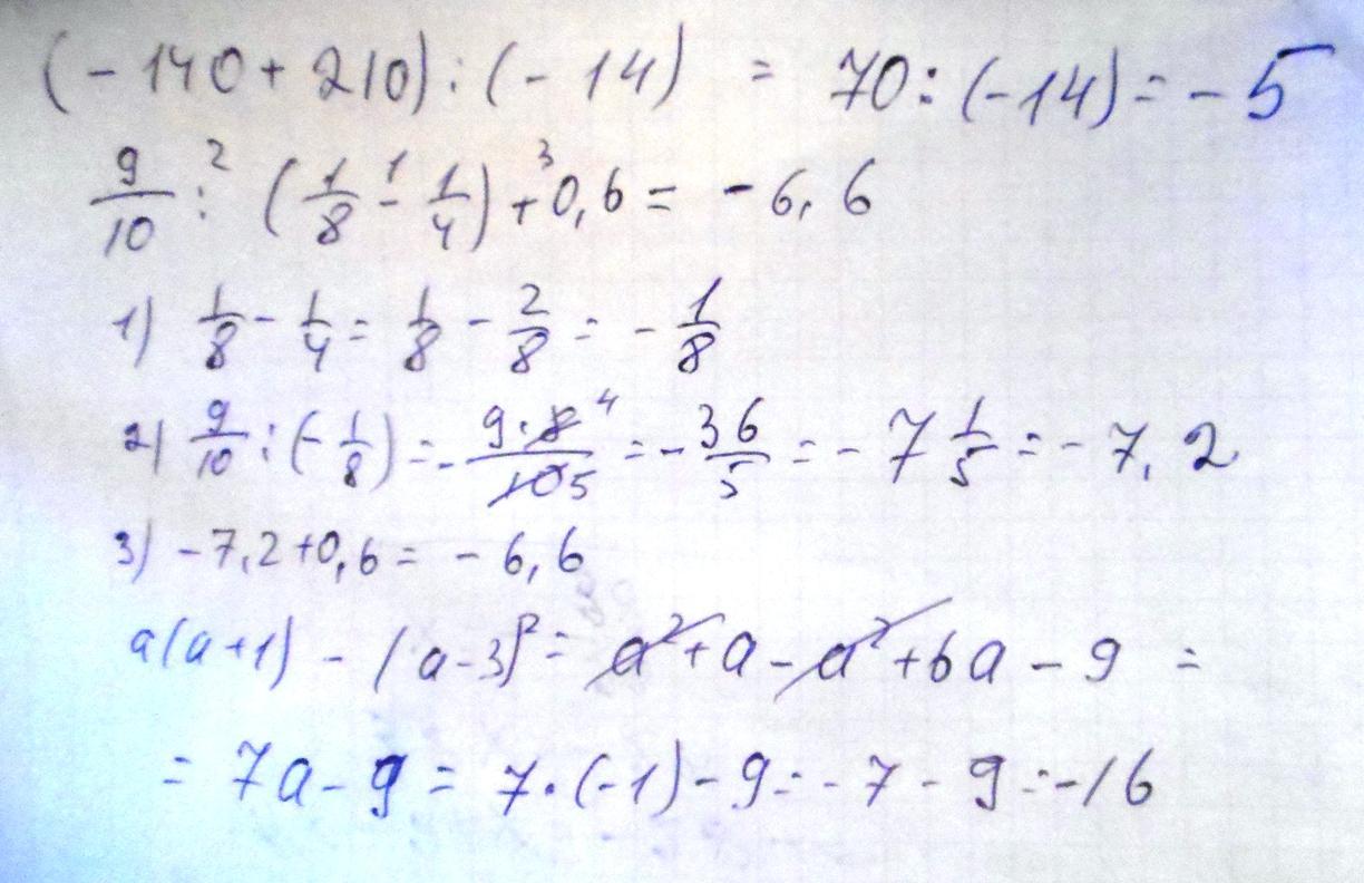
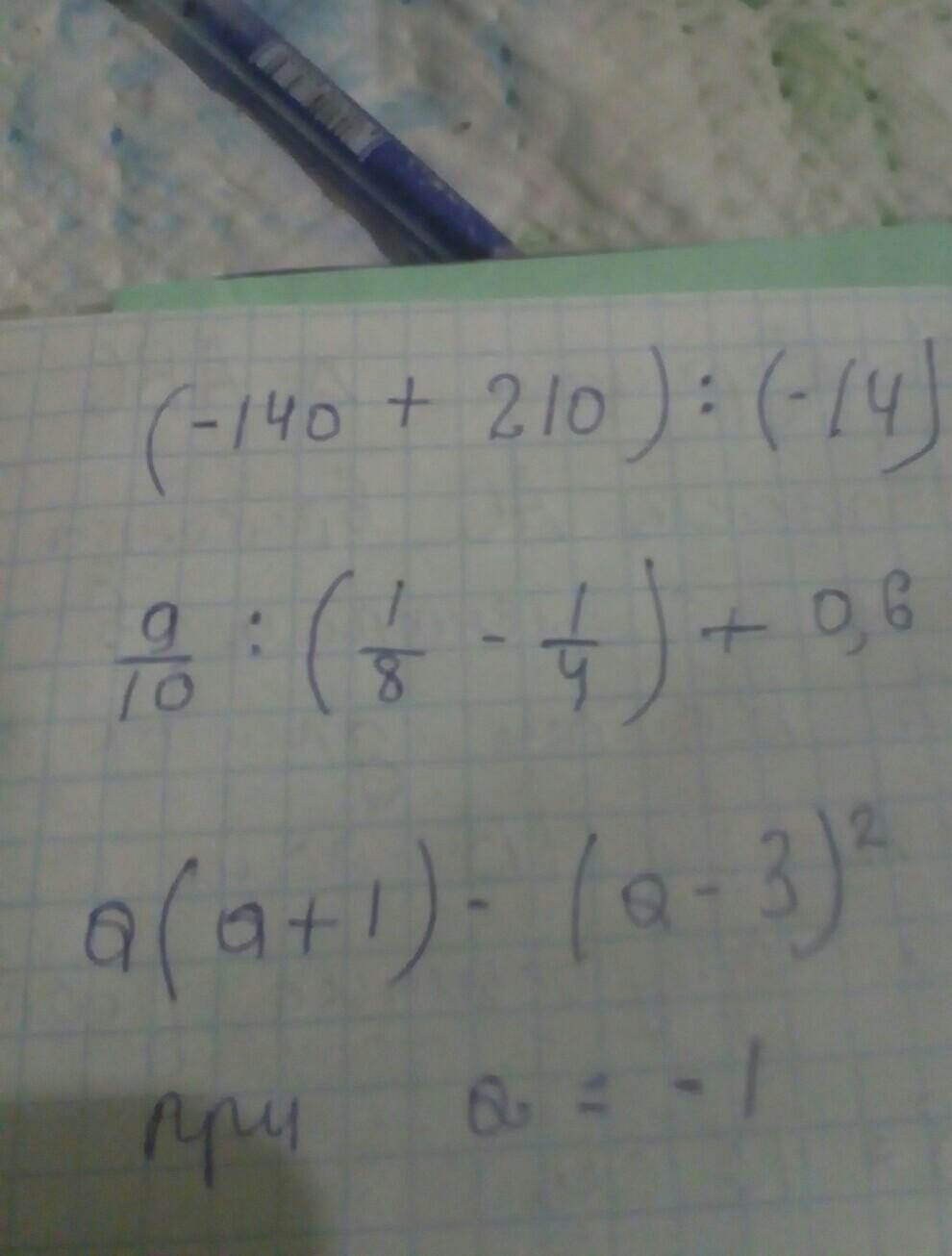
Приложения:

Вас заинтересует
2 года назад
3 года назад
3 года назад
8 лет назад
8 лет назад