• Предмет: Химия
  • Автор: konfetki777
  • Вопрос задан 8 лет назад

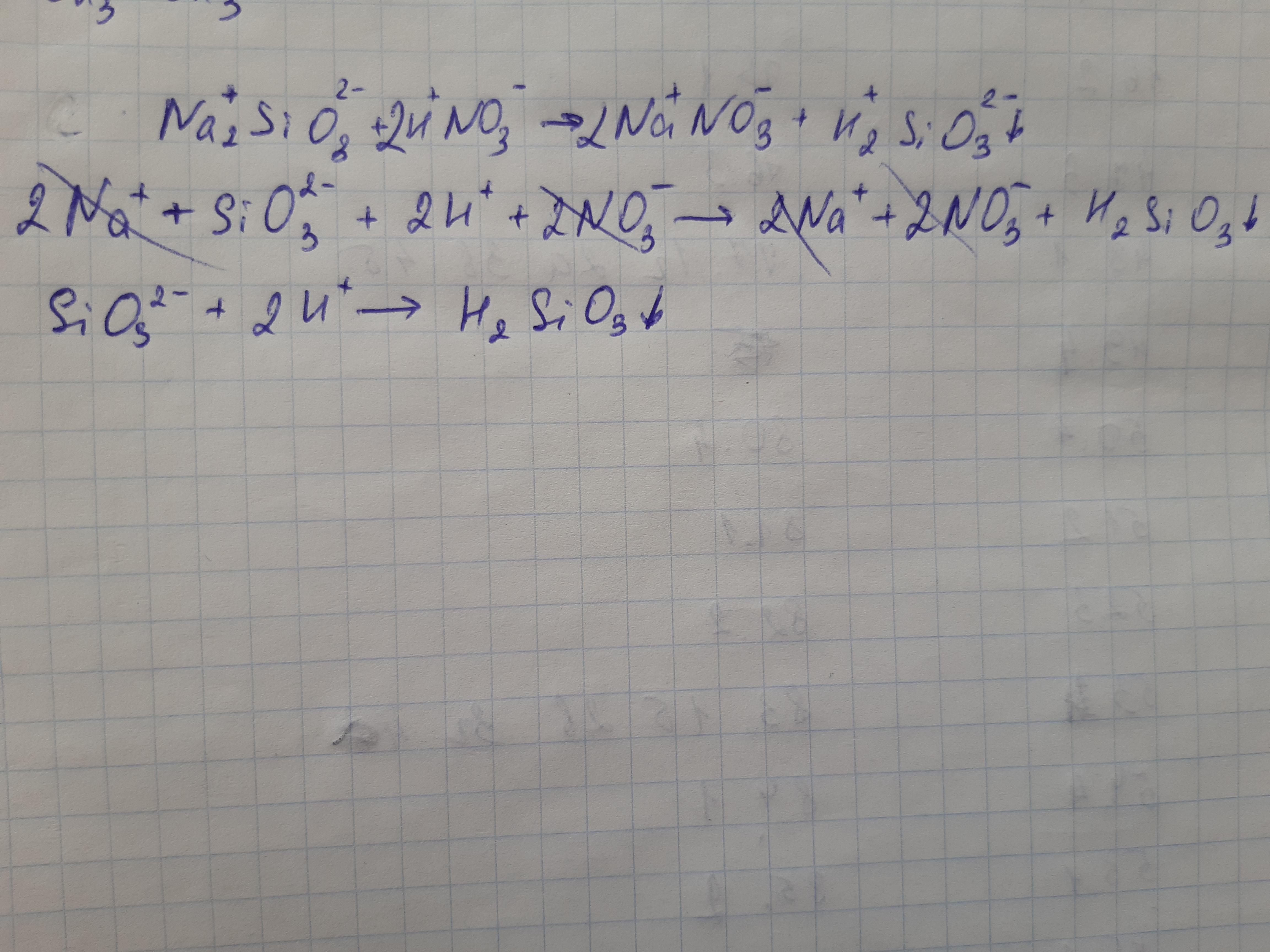
Решите ионное уравнение
А) Na2SiO3+HNO3

Ответы

Ответ дал: seacat007
0

Ответ:

Объяснение:полное и краткое ионное уравнение

Приложения:
Ответ дал: konfetki777
0
Спасибо огромное
Вас заинтересует