• Предмет: Математика
  • Автор: arizona2507
  • Вопрос задан 8 лет назад

Пожалуйста сделайте!!!С действиями!А лучше сфоткать на листке бумаги!!!​

Приложения:

Ответы

Ответ дал: tatsach
0

Ответ:

Пошаговое объяснение:

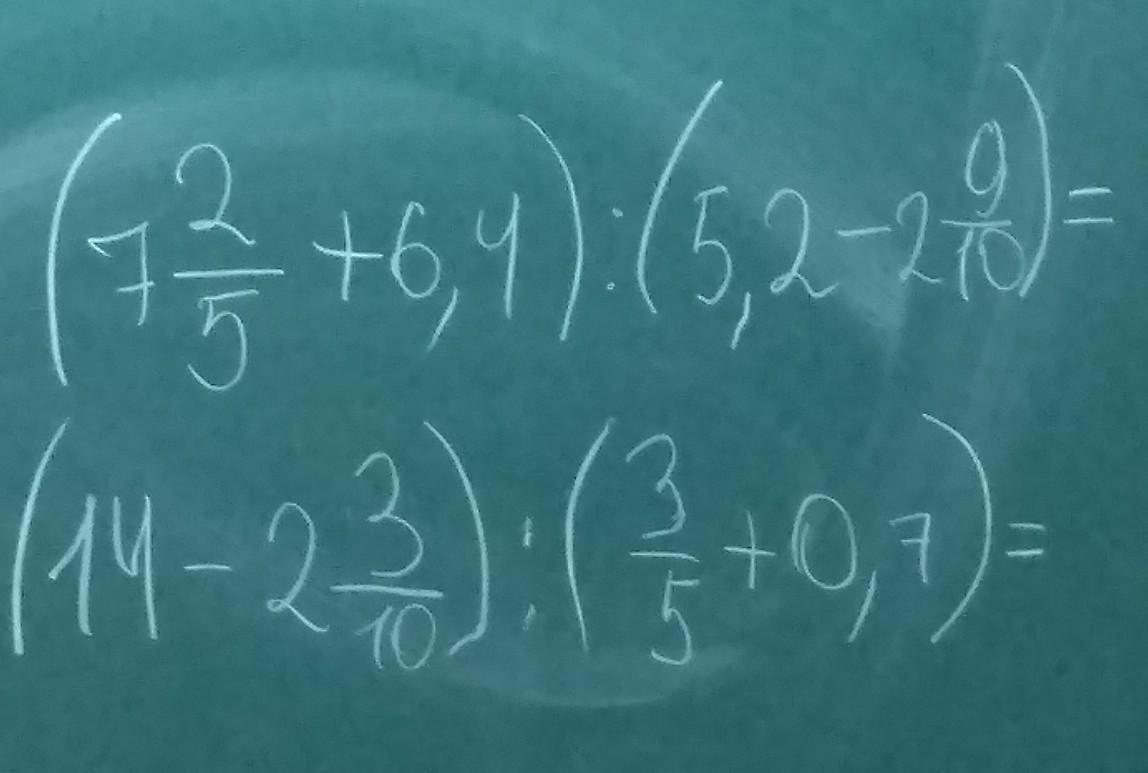
7 2/5+6.4=7.4+6.4=13.8

5.2-2 9/10=5.2-2.9=2.3

13.8:2.3=6

14-2 3/10=14-2.3=11.7

3/5+0.7=0.6+0.7=1.3

11.7:11.3=9

Вас заинтересует