• Предмет: Математика
  • Автор: alekles2452
  • Вопрос задан 8 лет назад

РИШИТЕ ПОЖАЛУЙСТА БЫСТРЕЕ

Приложения:

Ответы

Ответ дал: tatsach
0

Ответ:

Пошаговое объяснение:

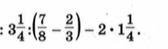
7/8-2/3=21/24-14/24=7/24

3 1/4:7/24=13/4*24/7=78/7=11 1/7

2*1 1/4=2*5/4=5/2=2 1/2

11 1/7-2 1/2=11 2/14-2 7/14=8 9/14

Ответ дал: tatsach
0
а перед 3 1/4 что написано?
Вас заинтересует