Ответы
Ответ дал:
0
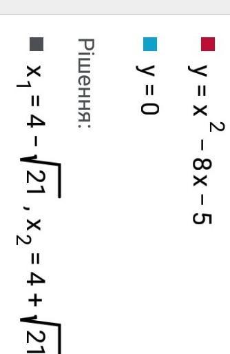
y=x2-8x-5
y=0
Мінімум (4,-21)
Приложения:


Ответ дал:
0
Ответ: 8
Приложения:


Вас заинтересует
2 года назад
2 года назад
3 года назад
3 года назад
9 лет назад