• Предмет: Математика
  • Автор: Vasiligyiko
  • Вопрос задан 8 лет назад

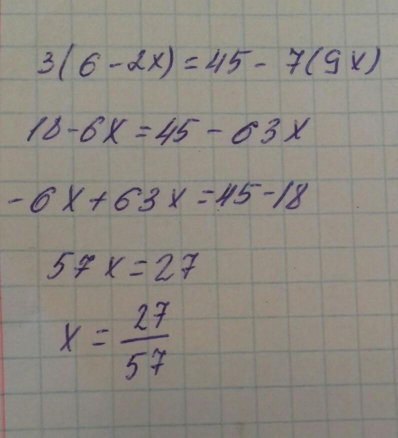
3(6-2x)=45-7(x9) пожалуйста помогите

Ответы

Ответ дал: anastasia136368
0

я думаю, что будет так. Но только я не поняла почему в скобках стоит х9, а не 9х

Приложения:
Ответ дал: Vasiligyiko
0
Спасибо
Вас заинтересует