Ответы
Ответ дал:
0
Ответ:
6+30y=5+30y
30y-30y=5-6
0=-1
не можливо
Пошаговое объяснение:
обьяснять не буду долго...
Ответ дал:
0
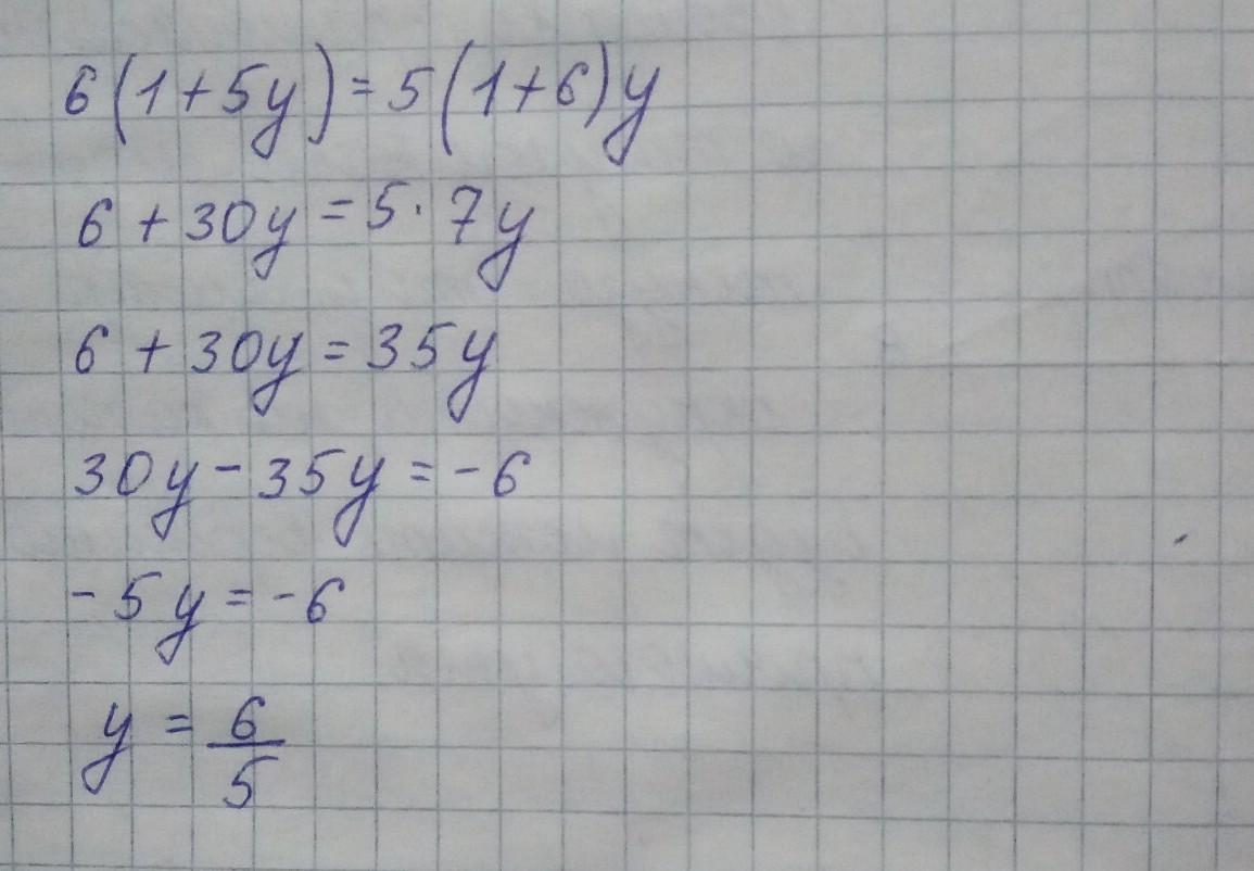
Решение на фото...........
Приложения:

Вас заинтересует
2 года назад
2 года назад
3 года назад
3 года назад
8 лет назад
8 лет назад
9 лет назад