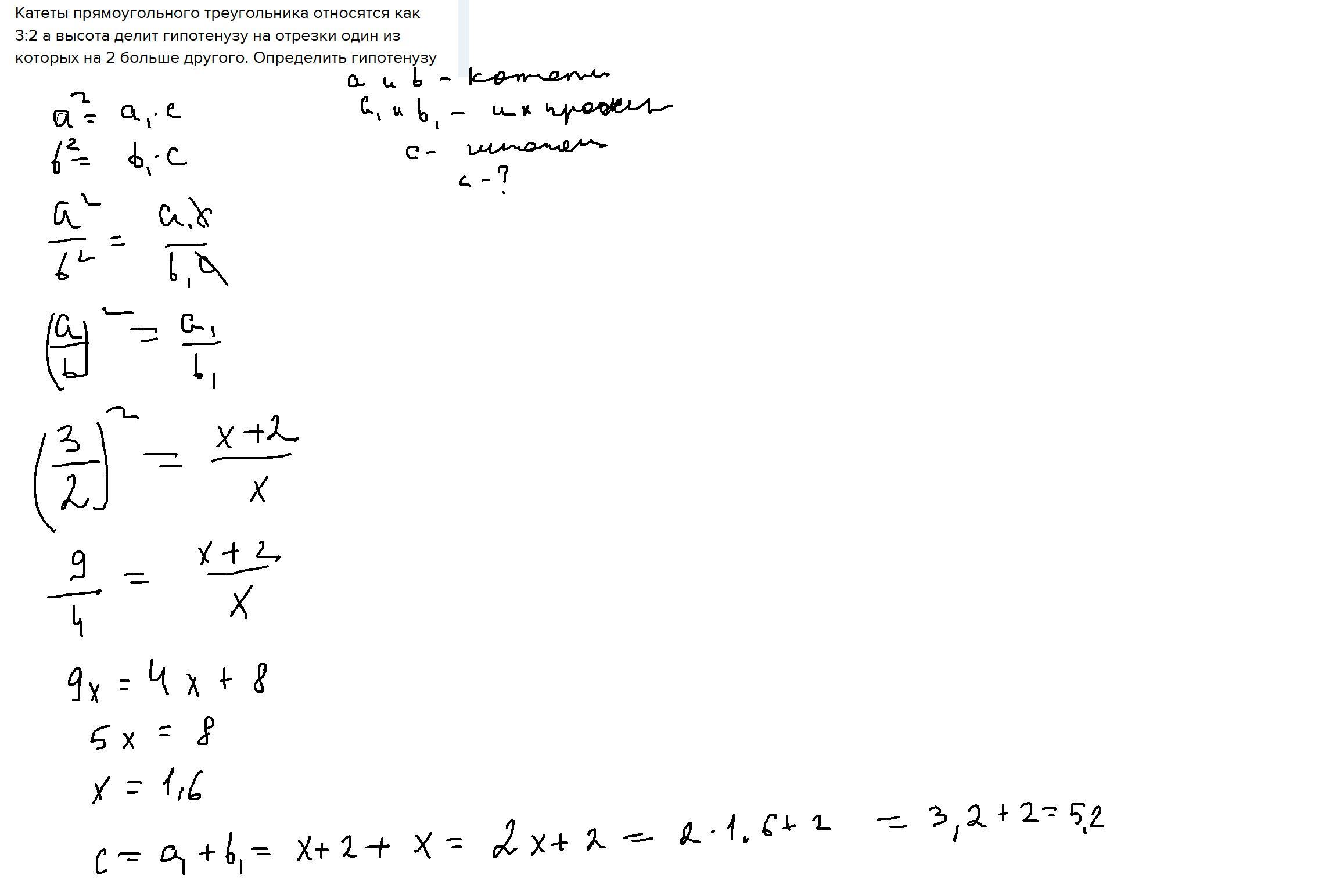
Катеты прямоугольного треугольника относятся как 3:2 а высота делит гипотенузу на отрезки один из которых на 2 больше другого. Определить гипотенузу
Ответы
Ответ дал:
0
Ответ:
Объяснение:Катеты прямоугольного треугольника
Приложения:

Вас заинтересует
2 года назад
2 года назад
3 года назад
9 лет назад
9 лет назад