• Предмет: Алгебра
  • Автор: Аноним
  • Вопрос задан 8 лет назад

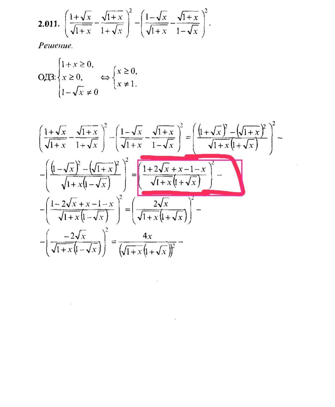
Объясните пожалуйста, почему поменялись знаки. Заранее спасибо

Приложения:

Ответы

Ответ дал: faridbiyanhu
0

Ответ:

Потому-что там стоит минус

Объяснение:

Если рядом находится минус, то знаки меняются на противоположные

Вас заинтересует