• Предмет: Алгебра
  • Автор: yaroshevsccayp6kayg
  • Вопрос задан 8 лет назад

Помогите решить примеры

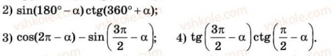
tg(180+a)- ctg(270- a)

Приложения:

Ответы

Ответ дал: sangers1959
0

Ответ:

Объяснение:

1) tg(180°+α)-ctg(270°-α)=tgα-(-ctgα)=tgα+ctgα=(sinα/cosα)+(cosα/sinα)=

=(sin²α+cos²α)/(sinα*cosα)=1/(sinα*cosα)=2*1/(2*(sinα*cosα)=2/sin(2α).

2)sin(180-α)*ctg(360+α)=sinα*ctgα=sinα*(cosα/sinα)=cosα.

3) cos(2π-α)-sin(3π/2-α)=cosα-(-cosα)=cosα+cosα)=2*cosα.

4) tg(3π/2-α)*ctg(π/2-α)=tgα*ctgα=(sinα/cosα)*(cosα/sinα)=1.                                                                  

Вас заинтересует