Ответы
Ответ дал:
0
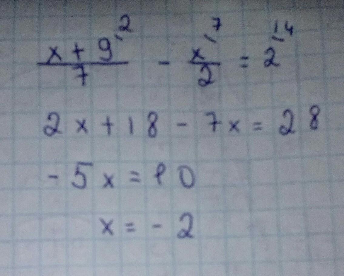
Находим общий знаменник, и потом сводим похожие числа:
Приложения:

Ответ дал:
0
вот!если не понятно напиши в комменте
Приложения:

Ответ дал:
0
: )
Ответ дал:
0
я думал в одном вопросе 2 скрина вложить можно второй не получилось(
Ответ дал:
0
поможете?
Ответ дал:
0
я могу ;)
Ответ дал:
0
у меня в профиле один вопрос называется помогите пж с заданием только формулу чертежа написать и все)
Вас заинтересует
2 года назад
3 года назад
8 лет назад
8 лет назад
9 лет назад