• Предмет: Алгебра
  • Автор: goodacc
  • Вопрос задан 8 лет назад

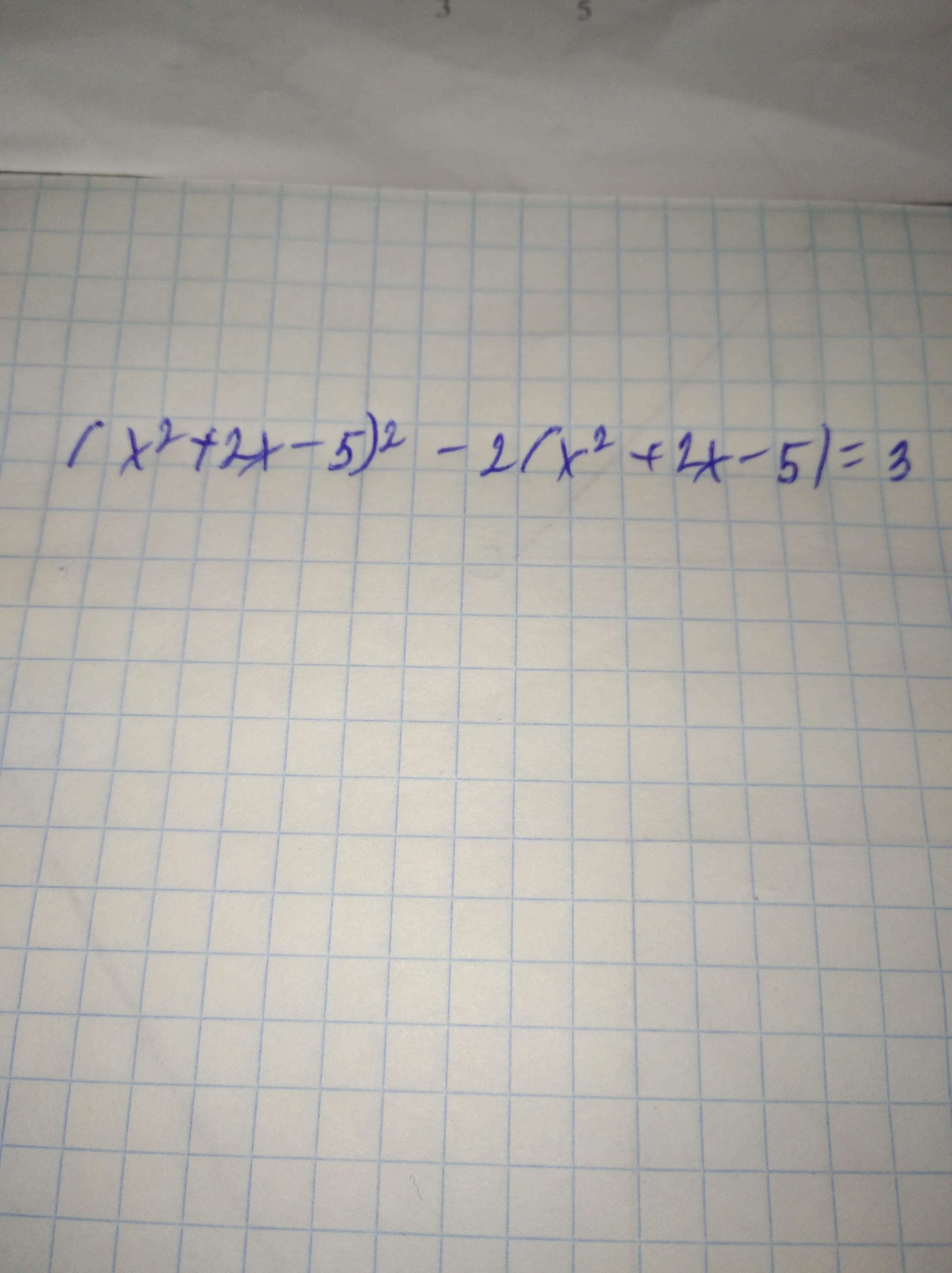
Решите квадратное уравнение

Приложения:

Ответы

Ответ дал: Evgenia4836
0

Ответ:

x1= 2, x2= -4, x3= -1+√5, x4= -1-√5

Объяснение:

пусть x²+2x-5=t, тогда

t²-2t-3=0

D= 4+12= 16

t1= (2+4)/2= 3

t2= (2-4)/2= -1

1) x²+2x-5=3

x²+2x-8=0

D= 4+32=36

x1= (-2+6)/2= 2

x2= (-2-6)/2= -4

2) x²+2x-5= -1

x²+2x-4=0

D= 4+16=20

x3= (-2+2√5)/2= -1+√5

x4= (-2-2√5)/2= -1-√5

Вас заинтересует