• Предмет: Математика
  • Автор: batalovaregina
  • Вопрос задан 8 лет назад

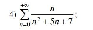
исследовать сходимость знакоположительных рядов

Приложения:

Ответы

Ответ дал: HSS9860
0

Посотмрите предложенное решение.

Ход исследования: по необходимому признаку установить сходимость, затем по предельному признаку сравнения рядов установить достаточность сходимости/расходимости ряда. Ответы подчёркнуты зелёным.

Приложения:
Вас заинтересует