• Предмет: Алгебра
  • Автор: iliya170617
  • Вопрос задан 8 лет назад

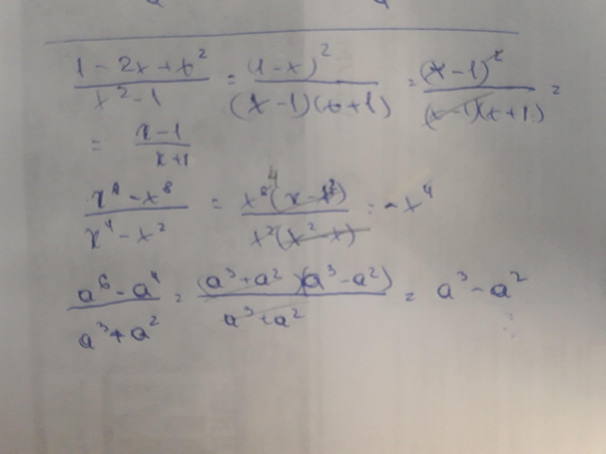
сократите дроби: 1-2х+х^2/х^2-1; x^6-x^8/x^4-x^2; a^6-a^4/a^3+a^2​

Ответы

Ответ дал: sanya6880
0

1) квадраты противоположных выражений равны, значит мы можем "поменять местами" вычитаемое и уменьшаемое

2) сокращаем на противоположное выражение, поэтому появляется "минус"

а так просто везде раскладываем на множители

вообще в идеале можно написать после каждой окончательной дроби, что выражение, на которое мы сокращали, не равно 0

а также написать одз

но это заморочки профильных школ, так что можешь не обращать на это внимание, если вас не просили это делать

если есть какие-то вопросы, обращайся

Приложения:
Вас заинтересует