Ответы
Ответ дал:
0
Ответ:
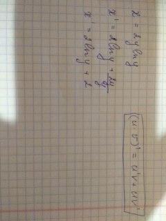
x`=2lny+2
Пошаговое объяснение:
Приложения:

Вас заинтересует
2 года назад
2 года назад
3 года назад
3 года назад
8 лет назад
9 лет назад
9 лет назад