Пожалуйста решите пример по математике.Первое действие умножение.Все решения в столбик,а не в строчку)Заранее спасибо
Приложения:

Ответы
Ответ дал:
0
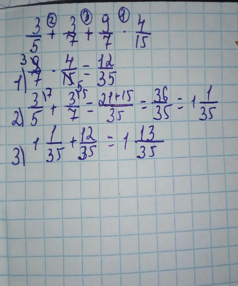
вот это всё.Я уверена,что правильно
Приложения:


Вас заинтересует
2 года назад
2 года назад
3 года назад
3 года назад
8 лет назад
8 лет назад
9 лет назад