• Предмет: Математика
  • Автор: Vovushka
  • Вопрос задан 11 лет назад

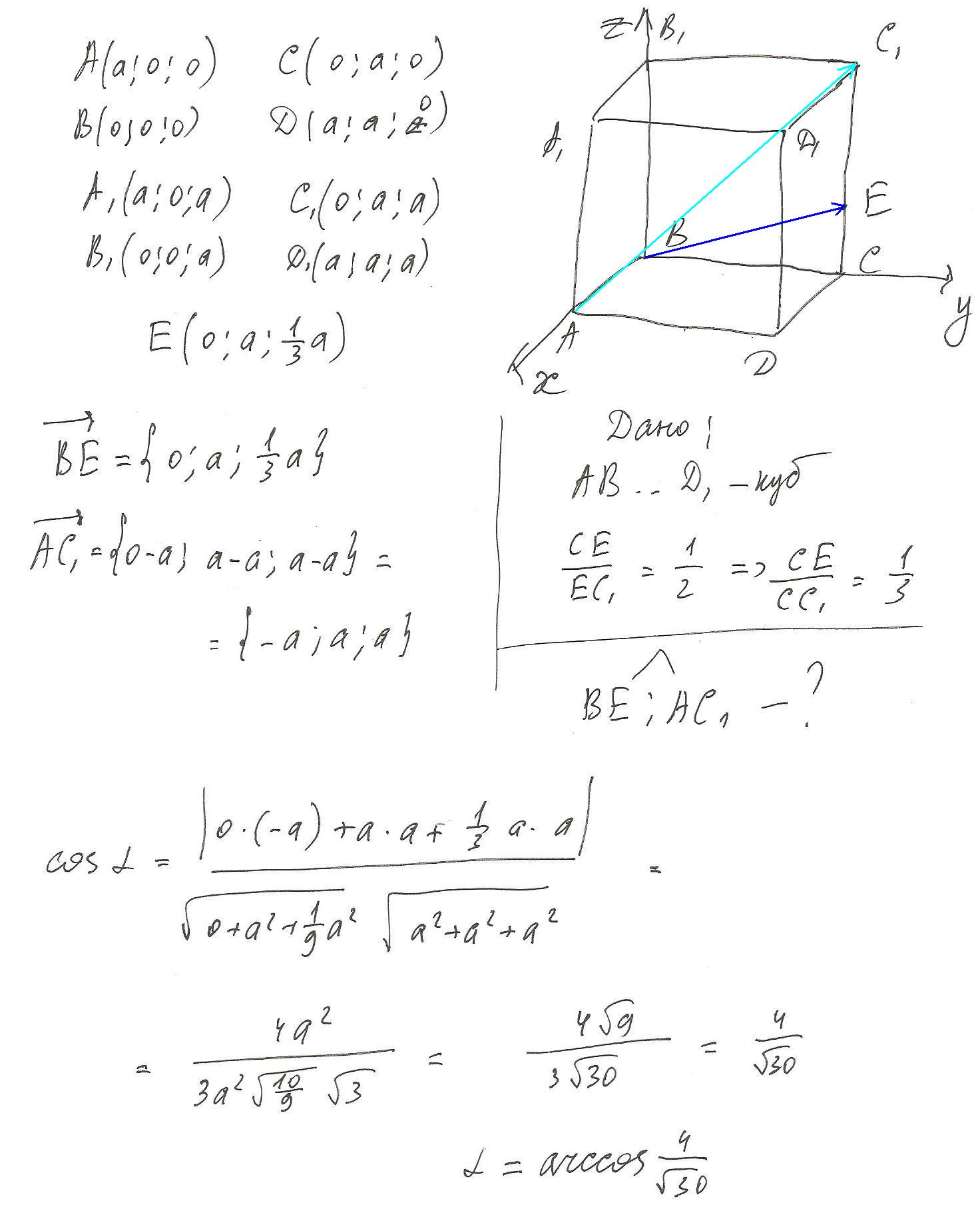
(ЕГЭ С2)  На ребре СС1 куба АВСDA1B1C1D1 отмечена точка E так, что CE:EC1=1:2 Найдите угол между прямыми BEи AC1.
РЕШИТЕ
ВЕКТОРНО-КООРДИНАТНЫМ СПОСОБОМ, ОФОРМИВ ПОДРОБНОЕ РЕШЕНИЕ С РИСУНКОМ НА
ОТДЕЛЬНОМ ЛИСТЕ. ЗА ХОРОШЕЕ ВОЗНАГРАЖДЕНИЕ ! СПАСИБО!!!

Ответы

Ответ дал: Artem112
0
cos alpha = cfrac{x_1x_2+y_1y_2+z_1z_2}{ sqrt{x_1^2+y_1^2+z_1^2} sqrt{x_2^2+y_2^2+z_2^2} } 
\\
 alpha =arccos cfrac{x_1x_2+y_1y_2+z_1z_2}{ sqrt{x_1^2+y_1^2+z_1^2} sqrt{x_2^2+y_2^2+z_2^2} }
Приложения:
Вас заинтересует