Решите примеры, пожалуйста
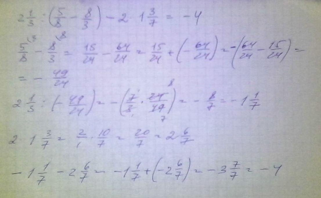
2.1/3: (5/8-8/3)-2×1.3/7
7/15:(6/10-8/3)+19.2/31
Желательно подробно ("/" означает дробную черту)
Ответы
Ответ дал:
0
= решение = решение = решение = решение = решение =
Приложения:


Вас заинтересует
2 года назад
2 года назад
3 года назад
3 года назад
8 лет назад
8 лет назад
9 лет назад