• Предмет: Математика
  • Автор: Аноним
  • Вопрос задан 8 лет назад

Ученикам 6 класса ВОПРОС
(дядям и тётям старше 13 лет
просьба не напрягаться)

Приложения:

Ответы

Ответ дал: Аноним
0

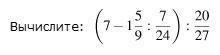
( 7 - 1целая 5/9 : 7/24 ) : 20/27

решаем по действиям :

1) 1 целая 5/9 : 7/24 = 14/9 : 7/24 = 14/9 × 24/7 = 336/63 = 16/3 = 5 целых 1/3 ;

2) 7 - 5 целых 1/3 = 7 - 5 - 1/3 = 2 - 1/3 = 6/3 - 1/3 = 5/3 = 1 целая 2/3 ;

3) 1 целая 2/3 : 20/27 = 5/3 : 20/27 = 5/3 × 27/20 = 135/60 = 9/4 = 2 целых 1/4 ;

Ответ : 2 целых 1/4

Удачи ) )

Ответ дал: Аноним
0
не надо он же помог
Ответ дал: Аноним
0
отмечай ?
Ответ дал: Аноним
0
отмечай конечно , если считаешь что неправильно
Ответ дал: Аноним
0
прошу снять отметку о нарушении
Ответ дал: Аноним
0
исправлено верно
Вас заинтересует