• Предмет: Математика
  • Автор: batalovaregina
  • Вопрос задан 8 лет назад

Вычислите предел пожалуйста

Приложения:

Ответы

Ответ дал: Tanda80
0

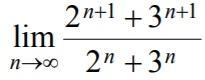
 lim_{n -  >  infty } frac{ {2}^{n + 1}  +  {3}^{n + 1} }{ {2}^{n}  +  {3}^{n} }   =  \  =  lim_{n -  > infty  } frac{ 2 times  {2}^{n} + 3 times  {3}^{n}   }{ {2}^{n} +  {3}^{n}  }   =  \  =   lim_{n -  >  infty } frac{ {3}^{n} (2 times ( frac{2}{3})^{n}   + 3)}{ {3}^{n}( {( frac{2}{3}) }^{n}   + 1)}   =  \  = lim_{n -  >  infty } frac{ 2 times ( frac{2}{3})^{n}   + 3}{{( frac{2}{3}) }^{n}   + 1}    =  \  =  frac{2 times 0 + 3}{0 + 1}  = 3
т.к.
lim_{n -  >  infty } {( frac{2}{3})}^{n}   = 0
Вас заинтересует