• Предмет: Математика
  • Автор: krishtofik49
  • Вопрос задан 8 лет назад


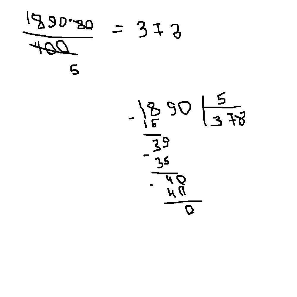
Слесарь и его ученик изготовил 1890 деталей. Ученик сделал 20% всех деталей. Сколько деталей сделал ученик?

Ответы

Ответ дал: napbsvsovsi
0
1890:100=18,9-1%
18,9*20=378 деталей сделал ученик
Ответ дал: кисуня17
0

задача во вложениии

если что не понятно спрашивай

Приложения:
Вас заинтересует