• Предмет: Алгебра
  • Автор: vanayrussia
  • Вопрос задан 8 лет назад

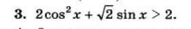
Решите пожалуйста нераавенство:

Приложения:

Ответы

Ответ дал: taisasnitko
0

Ответ:

Объяснение:2(1-sin²x)+√2sinx>2

2-2sin²x+√2sinx>2

-2sin²x+√2sinx>0

-2sinx(sinx-√2/2)>0

sinx(sinx-√2/2)<0 ⇒0<sinx<√2/2⇒2πn<x<π/4+2πn,n∈z  и 3π/4+2πk<x<π+2πk,k∈z

Вас заинтересует