• Предмет: Математика
  • Автор: dashawolf97
  • Вопрос задан 8 лет назад

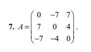
Пусть V₃ - пространство геометрических векторов с базисом { i, j, k}. Линейный оператор A каждому вектору x∈V₃ ставит в соответствие вектор Ax=[a,x]+5[x,b], где a={1,2,2} и b={1,-1,-1}. Найдите матрицу оператора A.
Нужный ответ в прикрепленном фото

Приложения:

Ответы

Ответ дал: igorShap
0

Ответ и Пошаговое объяснение даны в приложении

Приложения:
Вас заинтересует