• Предмет: Математика
  • Автор: Alenatess3008
  • Вопрос задан 8 лет назад

Решила , но хочу убедится в ответе !

Приложения:

Ответы

Ответ дал: natalyabryukhova
0

Ответ:

Пошаговое объяснение:

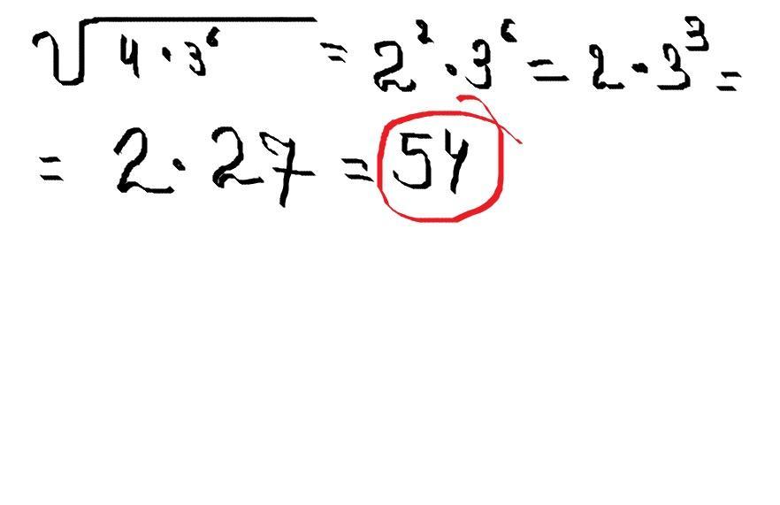
sqrt{4*3^6}=sqrt{2^2*3^6}=2*3^3=2*27=54

Ответ дал: Зая814
0

Ответ:

54

Пошаговое объяснение:

Приложения:
Вас заинтересует