• Предмет: Алгебра
  • Автор: netine
  • Вопрос задан 8 лет назад

Друзья помогите пожалуйста​

Приложения:

Ответы

Ответ дал: faretoruu
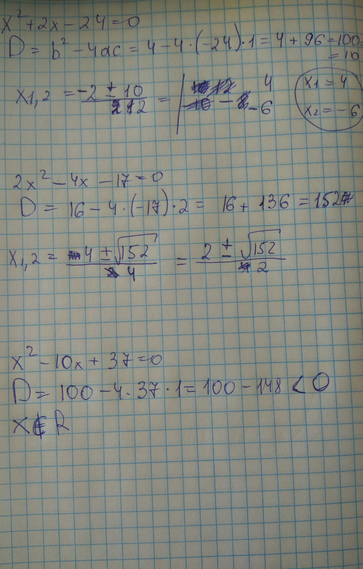
0

на первый вопрос вот сейчас все остальный

Приложения:
Ответ дал: m1kakim
0

Вот. --------------------------------------------------------------------------------------------------------------------------------------------------------------------------

Приложения:
Вас заинтересует