Ответы
Ответ дал:
0
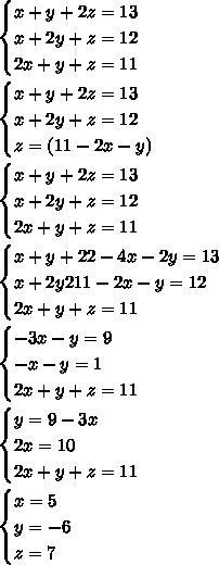
Вот твой ответ:
x=5;
y=-6;
z=7;
Объяснение:
Приложения:

Ответ дал:
0
При подстановке вашей тройки во второе уравнение получится : 0 = 12
Ответ дал:
0
Ответ:
5
Объяснение:
сложим второе и третье уравнения : 3x +3y+2z = 23 , из
полученного уравнения вычтем первое уравнение системы :
2x+2y = 10 ⇒ x+y = 5
Приложения:

Вас заинтересует
2 года назад
3 года назад
3 года назад
8 лет назад
8 лет назад
9 лет назад