• Предмет: Алгебра
  • Автор: akulama
  • Вопрос задан 8 лет назад

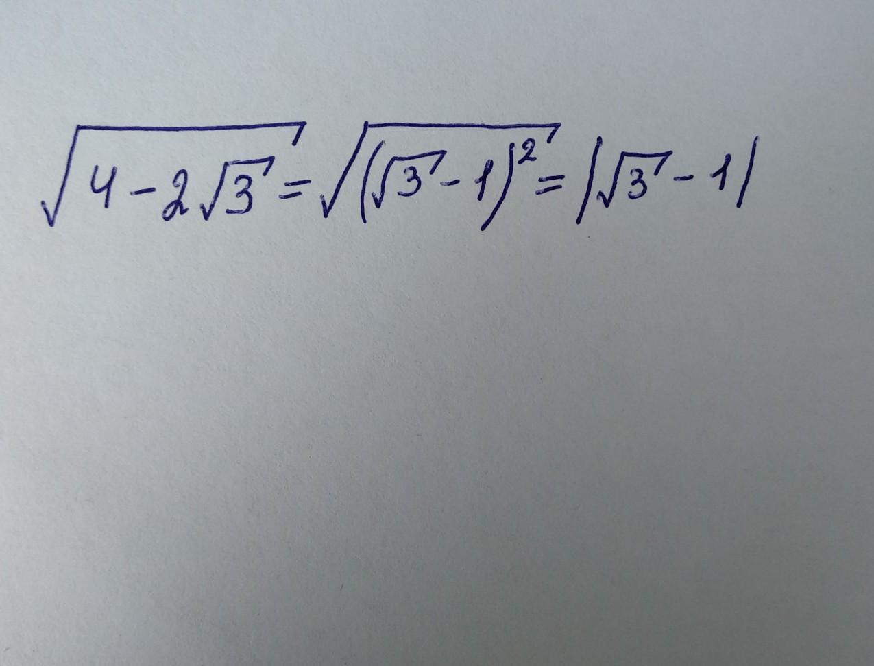
√4-2√3=√(√3-1)^2=|√3-1|
Объясните пожалуйста как мы это получили, или по какой формуле это расписывать!?​

Приложения:

Ответы

Ответ дал: Universalka
0

sqrt{4-2sqrt{3} }=sqrt{3-2sqrt{3}+1 } =sqrt{(sqrt{3})^{2}-2sqrt{3}+1^{2}}=sqrt{(sqrt{3}-1)^{2}}=|sqrt{3}-1|=sqrt{3}-1

так как √3 > 1

Вас заинтересует