Ответы
Ответ дал:
0
Решение:
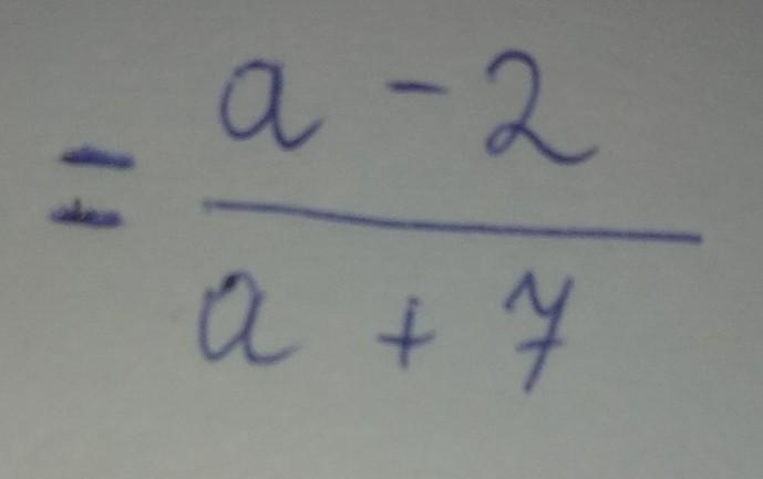
a²+5a-14/a²+14a+49 = a²+7a-2a-14/(a+7)² = a(a+7)-2(a+7)/(a+7)² = (a+7)(a-2)/(a+7)²=(a-2)/(a+7)
Ответ:
Ответ дал:
0
решала не я надеюсь все правильно
Приложения:

Вас заинтересует
2 года назад
2 года назад
3 года назад
3 года назад
8 лет назад
8 лет назад
9 лет назад