• Предмет: Алгебра
  • Автор: edikaanonumous
  • Вопрос задан 8 лет назад

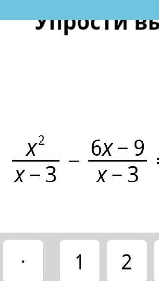
(x^2/x-3)-((6x-9)/x-3) упростить дробь​

Приложения:

Ответы

Ответ дал: KotikKiller
0

решала не я и точно не знаю!!!! =х-3

Ответ дал: edikaanonumous
0
спасибо, правильно
Ответ дал: KotikKiller
0
:)))
Вас заинтересует