13 задание ЕГЭ , помогите решить
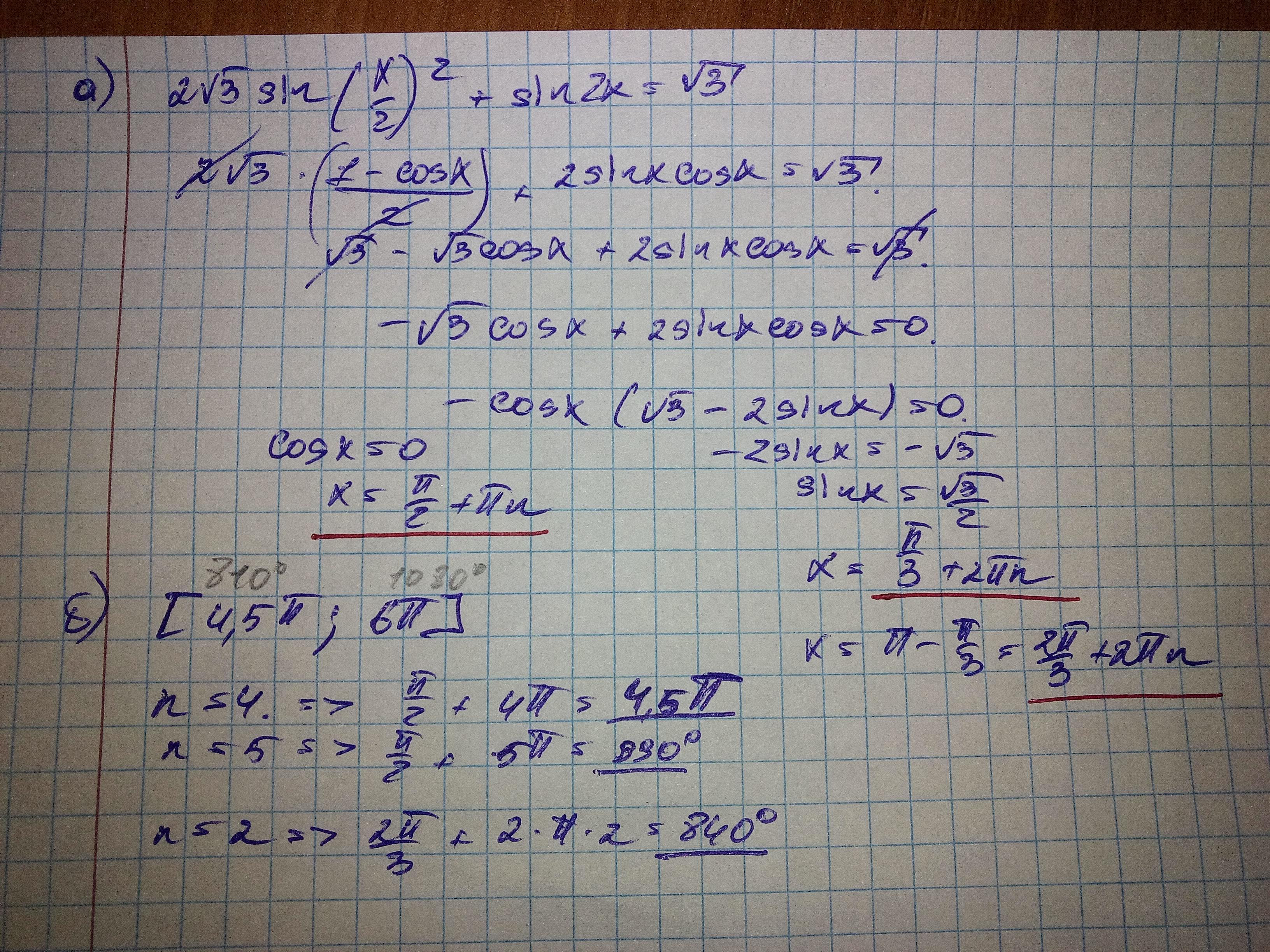
А) решить уравнение
Б) найти все корни уравнения принадлежащие отрезку [9π/2 ; 6π]
Приложения:

Ответы
Ответ дал:
0
Решение во вложении.
Приложения:

Вас заинтересует
2 года назад
2 года назад
3 года назад
8 лет назад
8 лет назад