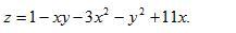
Функции нескольких переменных.
Исследовать функцию на экстремум.
(на листочке, подробно пожалуйста)
Приложения:

Ответы
Ответ дал:
0
Ответ:
Объяснение:
дано в приложении
Приложения:

Вас заинтересует
2 года назад
3 года назад
8 лет назад
9 лет назад