Функции нескольких переменных.
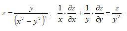
Дана функция z=f(x,y). Проверить, удовлетворяет или нет эта функция данному уравнению. (на листочке, подробно пожалуйста)
Приложения:

Ответы
Ответ дал:
0
Ответ:
Объяснение:
даны в приложении
Приложения:

Вас заинтересует
2 года назад
3 года назад
3 года назад
8 лет назад
8 лет назад
9 лет назад